北京雅思机考将开始报名!2020全年雅思考试安排及UKVI口试安排已出!
2020-07-21 17:23:17来源:网络作者: 小羊阅读量:
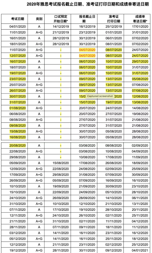
北京雅思机考将开始报名!2020全年雅思考试安排及UKVI口试安排已出!今天雅思考试报名后台已经能看到最早7月25日北京地区雅思机考就可以报名了,而且8月8日的北京纸笔考试也可以报名了,想在北京考雅思的小伙伴赶紧准备抢考位了!同时今天官方公布了2020最新全年雅思考试安排及UKVI口试安排,小伙伴们赶紧准备起来吧!

2020年雅思考试安排


相关文章
考研英语vs雅思究有什么不同?
2022年考研人数有457万人!相较于2021年暴涨80万人,再创历史新高!但全国高校的研究生招生名额仅有100多万,这意味着将有300多万考生无法上岸!四年的时...
阅读: 105
UKVI和普通雅思有什么区别?考生应该选哪个?
不少刚接触雅思的同学,在雅思考试类型的选择上总会有疑问。 “我大三在读,准备考英国大学管理专业的研究生,但是报名的时候发现雅思还分为 IELT...
阅读: 108
雅思线上机考在中国大陆首场考试已开放报名
好消息!雅思线上机考 IELTS Indicator 在中国大陆首场考试已开放报名,报名截止时间为6月17日凌晨6点。口语最早可于6月21日或22日开考,听、读、写首场考试...
阅读: 82
2022年6月16日雅思口语考试安排通知
雅思口语考试安排通知 6月16日场次 接英国文化教育协会通知,报考2022年6月16日雅思考试的考生口语安排如下,供广大考生参考。请按照报名网站公布的准...
阅读: 85
基础差也能雅思7分?!来看看优秀学生党的干货经验吧~
基础差也能雅思7分?!来看看优秀学生党的干货经验吧~烤鸭信息卡:雅思考试次数:1次 报名课程:基础+雅思强化 现成绩:听力8.5,阅读8.0,写作6.5,口...
阅读: 77
热门文章
-
1.考研英语vs雅思究有什么不同?
- 1

- 考研英语vs雅思究有什么不同?
- 2022-07-15
- 1
-
2.UKVI和普通雅思有什么区别?考生应该选哪个?
- 2

- UKVI和普通雅思有什么区别?考生应该选哪个?
- 2022-07-15
- 2
-
3.雅思线上机考在中国大陆首场考试已开放报名
- 3

- 雅思线上机考在中国大陆首场考试已开放报名
- 2022-06-13
- 3
-
4.2022年6月16日雅思口语考试安排通知
- 4

- 2022年6月16日雅思口语考试安排通知
- 2022-06-12
- 4
-
5.基础差也能雅思7分?!来看看优秀学生党的干货经验吧~
- 5

- 基础差也能雅思7分?!来看看优秀学生党的干货经验吧~
- 2021-12-16
- 5
-
6.提升雅思词汇量,7分学霸是怎么做的?
- 6

- 提升雅思词汇量,7分学霸是怎么做的?
- 2021-12-16
- 6
-
7.雅思8分大神三个月备考复习计划曝光!绝了
- 7

- 雅思8分大神三个月备考复习计划曝光!绝了
- 2021-12-16
- 7
-
8.四战雅思终上7,过来人的一点经验分享!
- 8

- 四战雅思终上7,过来人的一点经验分享!
- 2021-12-14
- 8
-
9.如何在一周内备考雅思,冲刺提分?
- 9

- 如何在一周内备考雅思,冲刺提分?
- 2021-12-14
- 9
-
10.零基础雅思小白,如何备考雅思各版块?
- 10

- 零基础雅思小白,如何备考雅思各版块?
- 2021-12-14
- 10
热门图文
-
IELTS Indicator(家考雅思) 考试详细报名流程分享!
2020-04-27
-
2020年雅思考试时间及费用详情,各部分费用明细介绍!
2019-12-25
-
英语六级540分相当于雅思的什么水平?
2019-12-28
-
should的同义词有什么?含should的句子要如何改写呢?
2019-08-22
-
雅思考试退费是怎么规定的?能退多少钱呢?
2019-12-09
-
山东济南有雅思考点吗?山东济南雅思考点在哪里?
2021-06-30
