AMC数学竞赛如何做题效率最高?AMC竞赛备考PlanB高效解决
2022-10-17 11:02:13来源:未知作者: 飞飞阅读量:
在机构的数学竞赛模考中,两位基础看似相同的小学霸,解决3道竞赛压轴题却形成了完全不同的答题样貌。
学生A:考试最后1秒才放下纸笔,时间紧迫,面对自己的答案表示未知,正确与否需要对标准答案才能知晓。
学生B:3道题均用多种解法轻松解决,最后还剩下10分钟检查答卷,用自己的其他解题方法进行论证后,表示“满分稳了”!
竞赛真题解析
如何选择最优的工具解决问题
在很多高级别竞赛题目中,一道题可能有很多种不同的解决方法,一般来说,在考场上,我们要选择一种效率最高的解决方法。之所以一道题会有不同的解题方法,主要是因为使用了不同的数学工具
同一道几何题,可以使用传统的几何方法(做辅助线,各种全等相似,各种定理推理等)、解三角形的方法、建坐标系、向量法、复数法等等;同一道代数题,也会有各种不同的方法。
但是不同的方法,思维的复杂度不一样,计算量也不一样,对于在考场上,时间有限的情况下,肯定要选择计算量小,而且思维复杂度低的这种。
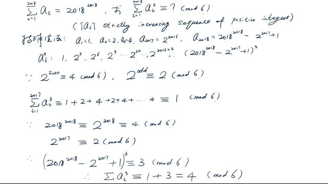
先来看一道2018年AMC10数学竞赛B卷的一道题目:

我们先看一种标准的解法:这种解法是使用了牛顿恒等式的一个推论(在韦达定理的扩展题目中也经常用到),同时使用简单的奇偶分析,可以快速做出来。

作为一道选择题,我们也可以采用特殊值法,这是我们第二种解法,比如:

当然类似的题目还有很多很多,再来看一道来自于AIME的考试:

明显的看出来,复数相乘的方法计算量要简单的多,下面这道清华的强基计划的题目,就更明显了:

构造复数相乘,比第二种方法就要简单很多。类似的题目还有很多,后续我们还会继续分享。
通过真题的分享不难看出:数学竞赛的本质还是选择最优的数学工具来解决你所面对的问题,在学会做选择之前,首先你要先熟练运用所有的数学工具。
这就是机构竞赛类数学课程体系的三部分:
基础段:学习然后熟练使用所有的数学工具;
强化段:学会做选择适合的数学工具来解决特定的问题;
冲刺段:以专题的形式再次强化解决问题的逻辑。
AMC竞赛备考Plan B 高效解决
从AMC的学习路径来看,AMC整个准备过程分为三个阶段:夯实知识点、串联知识点和冲刺刷题。
总体来看,整个备考过程需要学生:
先对单个的知识点的学习与深入挖掘,夯实学校不讲的但是竞赛会考的知识点;
随后将各个知识点的串联,锻炼数学思维和学习方法;
最后再通过刷题和模考,做好知识点的巩固和拉伸因此机构根据三个准备周期,整合基础课、强化课和冲刺课,一站式解决AMC备考。
对于学生来说:新知识点的掌握和很多考试中的解题技巧是必须攻克的难关,另外AMC题目解法很多,如果不讲时间控制总能做出来的,但考试是有时间限制的,从做题模式转换为考试模式也是难点。我们来看下各个阶段的准备需要花多少时间?
整体学习新知识点+操练简单题大概需要50小时左右,按照一周2小时学习的安排莱卡,基本需要25周左右。
对于学习融会贯通,熟练的使用并串联知识点,大概需要30小时,也就是15周时间。
最后对于考试前一个整套模拟,尽量是控制一个比较高的数量,以保证达到一个较好的手感和做题的状态,最好能每周进行模考,这个过程也大概需要30小时的时间。
而机构AMC10/12直通车班中涵盖的基础课程、强化课程和冲刺模考课程也是按照这样的时间分配,每周周末两小时,高效备战AMC冲奖晋级。
相关文章
2022物理碗Physicsbowl竞赛真题考题解析
就在2小时前, 今年的“物理碗”国际竞赛落下帷幕 !作为全球含金量最高的物理竞赛之一,本次参赛的中国学生超5000名!在物理碗中获得TOP100奖项的学生...
阅读: 781
国际物理竞赛都有哪些?哪个含金量高?如何选择!
物理竞赛是物理,工程,天文等相关专业申请必备利器,也是仅次于数学的热门学科。在物理学科领域,足具权威性和代表性的赛事包含: 美国物理碗竞赛...
阅读: 297
SASMO新加坡国际数学竞赛详细介绍及奖项设置
0 1 SASMO是什么? 众所周知,新加坡数学的教学体系,是国际上最优秀的数学之一,SASMO是由新加坡国际数学竞赛中心(SIMCC)组织的一项国际数学竞赛,现...
阅读: 1255
2023秋季英国留学申请季趋势分析
23Fall已经有部分专业开启申请了,为了让大家能更好的迎接这个申请季的到来!今天小编就根据23Fall目前各校的招生政策,结合22Fall的录取情况,来预测一...
阅读: 90
更多栏目
热门文章
-
1.2022物理碗Physicsbowl竞赛真题考题解析
- 1

- 2022物理碗Physicsbowl竞赛真题考题解析
- 2023-02-20
- 1
-
2.国际物理竞赛都有哪些?哪个含金量高?如何选择!
- 2

- 国际物理竞赛都有哪些?哪个含金量高?如何选择!
- 2022-12-12
- 2
-
3.SASMO新加坡国际数学竞赛详细介绍及奖项设置
- 3

- SASMO新加坡国际数学竞赛详细介绍及奖项设置
- 2022-12-12
- 3
-
4.AMC数学竞赛如何做题效率最高?AMC竞赛备考PlanB高效解决
- 4

- AMC数学竞赛如何做题效率最高?AMC竞赛备考PlanB高效解决
- 2022-10-17
- 4
-
5.2023秋季英国留学申请季趋势分析
- 5

- 2023秋季英国留学申请季趋势分析
- 2022-09-30
- 5
-
6.2022年AMC数学竞赛考试即将开始!考试注意事项说明
- 6

- 2022年AMC数学竞赛考试即将开始!考试注意事项说明
- 2022-09-30
- 6
-
7.2022年寒假可以参加的写作竞赛有哪些?
- 7

- 2022年寒假可以参加的写作竞赛有哪些?
- 2022-09-30
- 7
-
8.背景一般可以申请英国商学院吗?可以选哪些项目?
- 8

- 背景一般可以申请英国商学院吗?可以选哪些项目?
- 2022-09-29
- 8
-
9.去美国留学的中国学生申请最多的专业是哪些?
- 9

- 去美国留学的中国学生申请最多的专业是哪些?
- 2022-09-29
- 9
-
10.物理碗/BPhO/AP物理课程难度对比,BPhO和物理碗竞赛可以同时备考吗
- 10

- 物理碗/BPhO/AP物理课程难度对比,BPhO和物理碗竞赛可以同时备考吗
- 2022-09-29
- 10
热门图文
-
互联网+、挑战杯、创青春等创新创业大赛含金量高吗??
2022-07-28
-
2022年芬兰人口数据统计公布!华人为第四大人口种族
2022-07-28
-
蓝思指数是什么?蓝思指数详细分析
2022-07-28
-
2022下半年数学竞赛比赛时间及官网链接整理
2022-07-28
-
2022年全国大学生英语竞赛题型及分值分布详解答题策略
2022-07-28
-
大学生竞赛项目汇总!能加分保研的工科类竞赛盘点
2022-07-28
